• Предмет: Алгебра
  • Автор: suunbeksadykov17
  • Вопрос задан 3 года назад

!!!!!СРОЧНООООО!!!!0000​

Приложения:

Аноним: посмотри на мой балы
suunbeksadykov17: и?

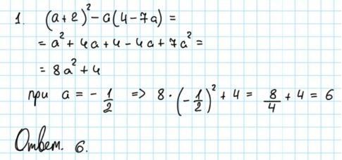
Ответы

Ответ дал: AiMus
1

Ответ:

Один пример за 5 баллов)

Объяснение:

Приложения:

suunbeksadykov17: я первые 2 сделал
AiMus: Так указывать нужно) время людей тратишь бездумно) я своё потратил, ожидай других
Вас заинтересует