• Предмет: Математика
  • Автор: xxx808
  • Вопрос задан 3 года назад

Помогите пожалуйста срочно​

Приложения:

Ответы

Ответ дал: AiMus
0

Ответ:

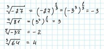
Решение за 5 баллов

Пошаговое объяснение:

Далее логика такая же, ничего сложного.

Приложения:
Вас заинтересует