• Предмет: Математика
  • Автор: zliza425
  • Вопрос задан 3 года назад

помогите пожалуйста,не очень понимаю ​

Приложения:

Ответы

Ответ дал: bkvas1234
0

Ответ:

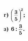
Г) 6/10 (в виде дроби )

З) 15

Пошаговое объяснение:

Г.) 3*2/5*2 = 6/10

З.) представляем число 6 в виде дроби (6/1)

Потом дробь 3/5 переворачиваем.скоращаем 6 и 3. Получается 3*5/1

Значит равно 15

Вас заинтересует