• Предмет: Математика
  • Автор: zliza425
  • Вопрос задан 3 года назад

хелппппппппппппп плииз​

Приложения:

Ответы

Ответ дал: zhansaya065
1

Ответ:

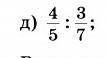
 \frac{4}{5} \div  \frac{3}{7}   =   \frac{4}{5} \times  \frac{7}{3}  =  \frac{4 \times 7}{5 \times 3} =   \frac{28}{15} = 1.86

Пошаговое объяснение:

По моему будет так.

Ответ дал: uzubkova636
1

Ответ:

4/5 :3/7=.4×7/3×5=28/15 ДЕЛЕНИЕ выполняется крест на крест, Т. Е. Числитель первого числа умножи на знаменатель второго числа получим 4×7,а числитель второго числа на знаменатель первого числа

МОЖНО поделить 28:15 ~1,9 ~это округление

Вас заинтересует