Ответы
Ответ дал:
1
Ответ:
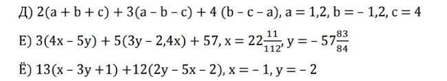
Д -26,4
Е 57
Ё 66
Пошаговое объяснение:
Приложения:

Вас заинтересует
2 года назад
2 года назад
2 года назад
2 года назад
8 лет назад
8 лет назад
9 лет назад