• Предмет: Математика
  • Автор: yaronoprienko208
  • Вопрос задан 3 года назад

За темою Диференціальні рівняння. ​

Приложения:

Ответы

Ответ дал: Miroslava227
1

Ответ:

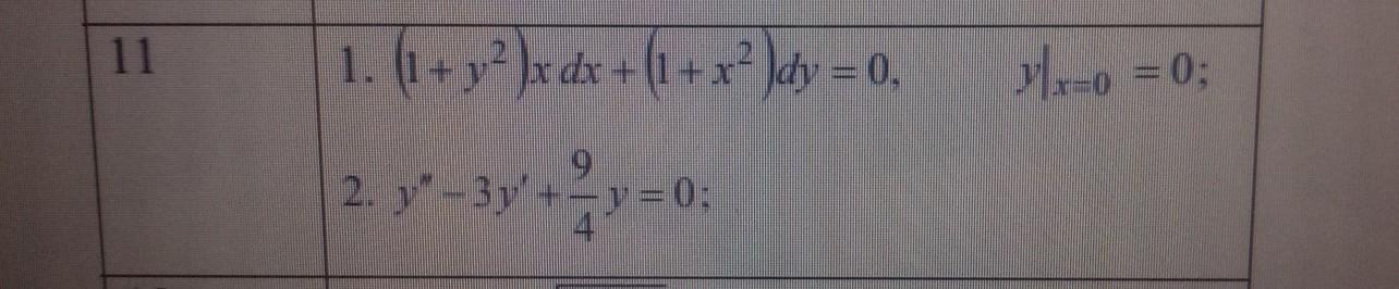
1.

Это ДУ с разделяющимися переменными

(1 + y^{2} )xdx + (1 +  {x}^{2}) dy = 0 \\ (1 +  {x}^{2} )dy =  - x(1 +  {y}^{2} )dx \\ \int\limits \frac{dy}{1 +  {y}^{2} }  =  -  \int\limits \frac{xdx}{1 +  {x}^{2} }  \\ arctg(y) =  -  \frac{1}{2}  \int\limits \frac{2xdx}{1 +  {x}^{2} }  \\ arctg(y) =  - \frac{1}{2}   \int\limits \frac{d(1 +  {x}^{2}) }{1 +  {x}^{2} }   \\ arctg(y) =  -  \frac{1}{2}ln |1 +  {x}^{2} |  +  C

общее решение

y(0) = 0

arctg(0) =  -  \frac{1}{2}  ln(1)  + C\\ C= 0

arctg(y) =  -  \frac{1}{2}  ln(1 +  {x}^{2} )  \\

частное решение

2. Это линейное однородное ДУ

y'' - 3y' +  \frac{9y}{4}  = 0 \\  \\ y =  {e}^{kx}  \\  {e}^{kx} ( {k}^{2} - 3 k +  \frac{9}{4} ) = 0 \\ D = 9 - 4 \times  \frac{9}{4}  = 0 \\ k_{1,2}  =  \frac{3}{2}  \\ y = C_1 {e}^{ \frac{3}{2}x }   + C_2 {e}^{ \frac{3}{2}x } x

общее решение


yaronoprienko208: Спасибо большое тебе!
Вас заинтересует