• Предмет: Алгебра
  • Автор: SoV3n04ek
  • Вопрос задан 3 года назад

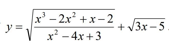
Знайдіть область визначення функції:

Приложения:

Ответы

Ответ дал: Universalka
1

1)\frac{x^{3}-2x^{2}+x-2}{x^{2} -4x+3}\geq 0\\\\\frac{(x^{3}-2x^{2})+(x-2)}{x^{2} -4x+3}\geq 0\\\\\frac{x^{2}(x-2)+(x-2)}{x^{2} -4x+3}\geq 0\\\\\frac{(x-2)(x^{2}+1)}{(x-1)(x-3)} \geq0\\\\\frac{x-2}{(x-1)(x-3)} \geq0

     -            +               -                 +  

_____[1]______[2]______[3]______

           ////////////////                //////////////

x ∈ [1 ; 2] ∪ [3 ; + ∞)

2)3x-5\geq 0\\\\3x\geq 5\\\\x\geq 1\frac{2}{3}\\\\x\in[1\frac{2}{3} ;+\infty)

Окончательный ответ : x ∈ [1 2/3 ; 2] ∪ [3 ; + ∞)

Вас заинтересует