Ответы
Ответ дал:
1
Ответ:
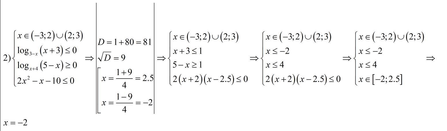
x=-2
Объяснение:
//////////////////////////
Приложения:


Вас заинтересует
2 года назад
2 года назад
2 года назад
8 лет назад
8 лет назад
9 лет назад
9 лет назад