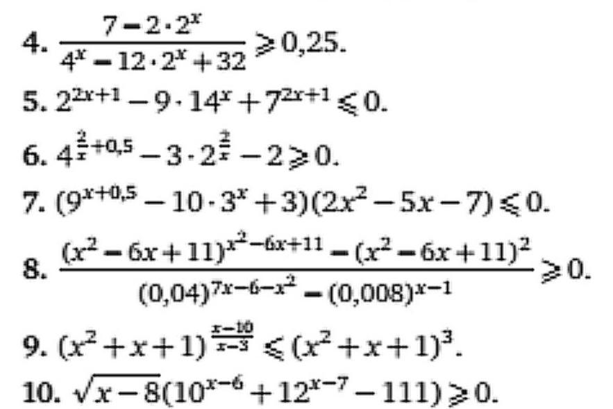
ДАЮ 50 БАЛЛОВ. ПОКАЗАТЕЛЬНЫЕ НЕРАВЕНСТВА, НУЖНО РЕШИТЬ ЛЮБЫЕ 3. ОБЯЗАТЕЛЬНО С РЕШЕНИЕМ. ПОМОГИТЕ ПОЖАЛУЙСТА
Приложения:

Ответы
Ответ дал:
1
Ответ:
решение на фотографиях
Приложения:



Вас заинтересует
2 года назад
2 года назад
8 лет назад
9 лет назад