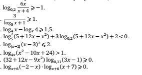
ЛОГАРИФМИЧЕСКИЕ ПОКАЗАТЕЛЬНЫЕ НЕРАВЕНСТВА. НУЖНО СДЕЛАТЬ ЛЮБЫЕ 3, ОБЯЗАТЕЛЬНО С РЕШЕНИЕМ. ПОМОГИТЕ, ПОЖАЛУЙСТА
Приложения:

Ответы
Ответ дал:
2
решение на фотографиях
Приложения:



Miroslava227:
Это значит, что я проверяю на правильность свое решение, потому что могу где-нибудь ошибиться
Вас заинтересует
2 года назад
2 года назад
8 лет назад
8 лет назад
9 лет назад