Помогите Срочно !!!!!
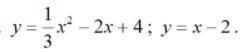
первая фотография ) Вычислить площадь фигуры, ограниченной линиями:
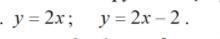
вторая фотография )Вращением вокруг оси Oy фигуры, ограниченной линиями:
Приложения:


Ответы
Ответ дал:
1
Ответ:
x=2
Пошаговое объяснение:
2x=2x-2
2x-2x+2
x=2
vladzorkov17:
можешь еще один решить
Вас заинтересует
2 года назад
2 года назад
2 года назад
2 года назад
8 лет назад
8 лет назад
9 лет назад