• Предмет: Математика
  • Автор: Аноним
  • Вопрос задан 3 года назад

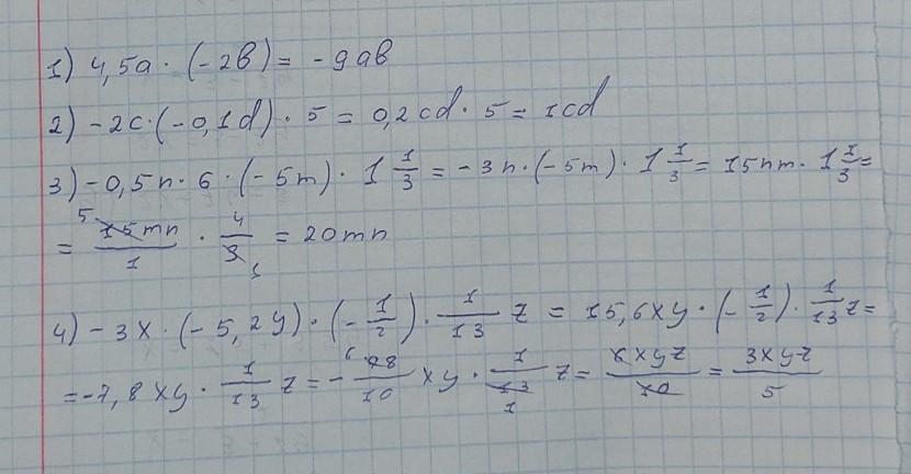
Спростить вираз : 4,5•(-2b)

Приложения:

Аноним: Ну якщо не тяжко напишіть все пжжж

Ответы

Ответ дал: Elizabeth2901
2

Пошаговое объяснение:

ответ прикреплен на фото

Приложения:

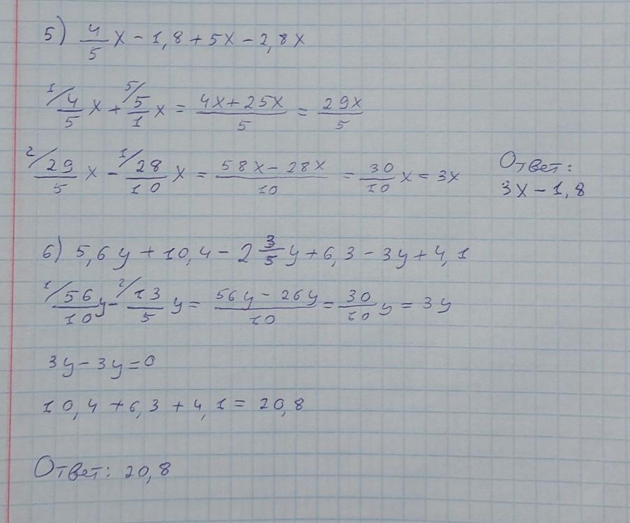
Аноним: Можеш ще 5) та 6)
Elizabeth2901: сейчас
Аноним: Дякую
Elizabeth2901: прикрепила
Аноним: Спасибо
Вас заинтересует