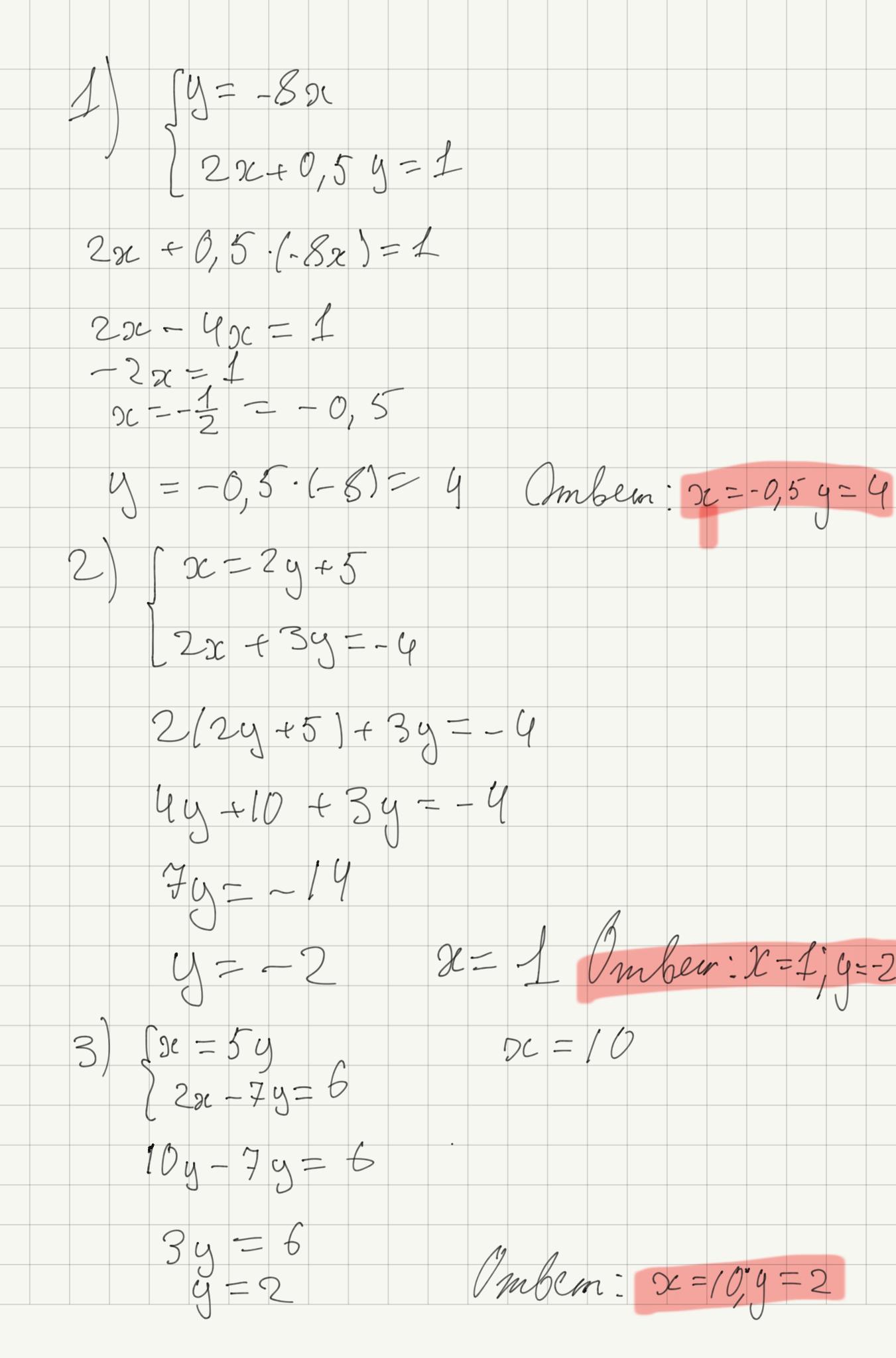
Пожалуйста, помогите. Срочно!!!!!!!. Решите систему линейных уравнений:
1)
у=-8х
{
2х+0.5у=1
2)
х=2у+5
{
2х+3у=-4
3)
х=5у
{
2х-7у=6
Ответы
Ответ дал:
1
Ответ: Ниже.
Объяснение: На листке. Что непонятно пиши.
Приложения:

dragoderrred333:
спасибо огромное
Вас заинтересует
2 года назад
8 лет назад
8 лет назад
9 лет назад