• Предмет: Алгебра
  • Автор: Аноним
  • Вопрос задан 3 года назад

Решите пожалуйста!!!!
Даю 100 баллов!!!!

Приложения:

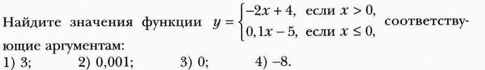
orjabinina: 1) 3>0 , y(3)=-2*3+4=-2
orjabinina: 2)0,001>0 , y(0,001)=-2*0,001+4=3,998
orjabinina: 3)0=0 ,y(0)=0,1*0-5= -5
orjabinina: `4)-8<0 ,y(-8)=0,1*(-8)-5= -5,8

Ответы

Ответ дал: Irremediable
2

1) y(3) = -2*3 + 4 = -2

2)y(0.001) = -2*0.001 + 4 = 3.998

3)y(0) = 0.1*0 - 5 = -5

4)y(-8) = 0.1*(-8) - 5 = -5.8


yulyaivanchenko65: Добрый день,не могли бы вы помочь мне если вам не трудно конечно, https://znanija.com/task/43657526,я буду безумно вам благодарна за ваше милосердие ко мне,с меня 5 звёзд и лучший ответ, зарание спасибо за помош!!!!!!!!!!!!!!!!!!!!1
orjabinina: он не может
Вас заинтересует