• Предмет: Алгебра
  • Автор: ramirez66
  • Вопрос задан 3 года назад

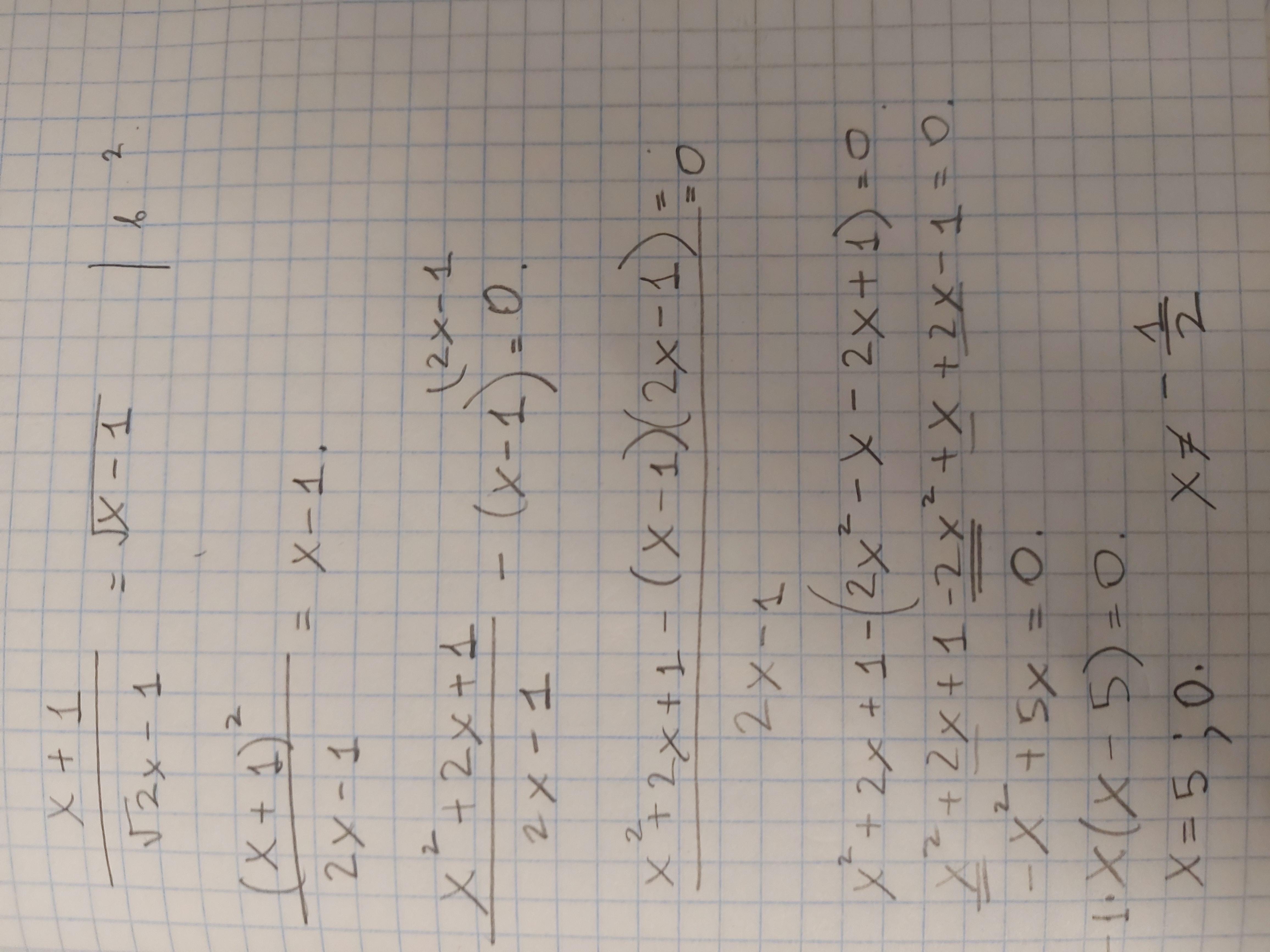
Иррациональные уравнения. Запутался в уравнении, помогите.

Приложения:

orjabinina: одз нашли?

Ответы

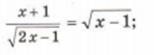
Ответ дал: nesudimoe07
0

Ответ:

х=5;0

х не равен -0.5

Приложения:

orjabinina: При 0 в знаменателе под корнем получается отрицательное число. Значит у Вас где то ошибка
orjabinina: И в правой части тоже. Надо было начать с ОДЗ
Вас заинтересует