• Предмет: Алгебра
  • Автор: kjhtdgrf
  • Вопрос задан 3 года назад

Помогите срочно алгебра 10 класс!!! Если будет спам то вы получите страйк и администрацией заблокирует вас за 10 минут!!! Приложите фото с оригинальным решением не скопированным!!!

Приложения:

Ответы

Ответ дал: NNNLLL54
1

Ответ:

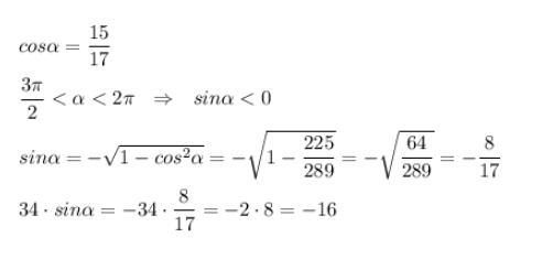
cos\alpha =\dfrac{15}{17}\\\\\dfrac{3\pi}{2}<\alpha <2\pi \ \ \Rightarrow \ \ sin\alpha <0\\\\sin\alpha =-\sqrt{1-cos^2\alpha }=-\sqrt{1-\dfrac{225}{289}}=-\sqrt{\dfrac{64}{289}}=-\dfrac{8}{17}\\\\34\cdot sin\alpha =-34\cdot \dfrac{8}{17}=-2\cdot 8=-16                                    

Приложения:
Вас заинтересует