• Предмет: Алгебра
  • Автор: sedinaira785
  • Вопрос задан 3 года назад

РЕШИТЕ ПОЖАЛУЙСТА ЗАДАНИЕ ПО АЛГЕБРЕ 10 КЛАСС

Приложения:

Ответы

Ответ дал: soudagh
1

Ответ:

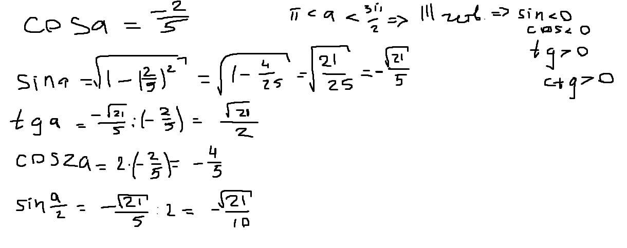
sin \alpha  = -\frac{\sqrt{21} }{5} \\tga = \frac{\sqrt{21}  }{2}\\cos2\alpha  = -\frac{4}{5} \\sin\frac{2}{\alpha } = - \frac{\sqrt{21} }{10}

Объяснение:

Приложения:
Вас заинтересует