• Предмет: Алгебра
  • Автор: glebkornev6
  • Вопрос задан 3 года назад

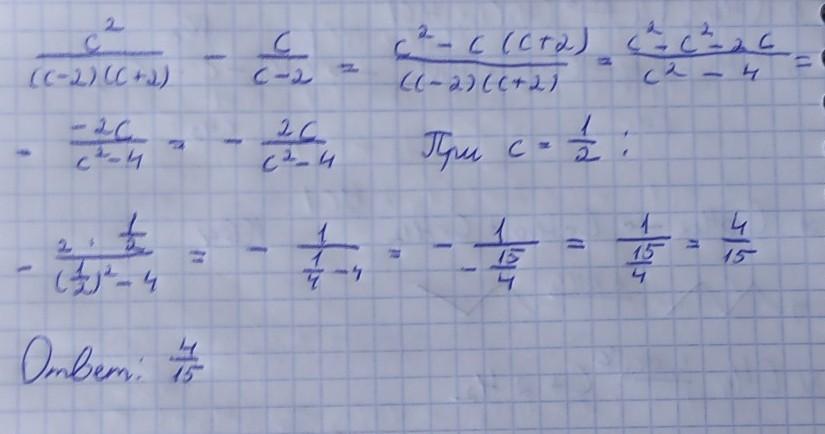
Упростите выражение, с^2/ с^2-4 - с/с-2
Найти его значенте выражение при С = 1/2
В файле который я закрепил все понятнее

Приложения:

Ответы

Ответ дал: nikitinroman22122004
17

Ответ:

Вот, держи, расписал с упрощением, а потом подставил значение)

Приложения:
Вас заинтересует