• Предмет: Алгебра
  • Автор: sashapetrov9212
  • Вопрос задан 3 года назад

Помогите срочно 25 баллов

Приложения:

Ответы

Ответ дал: manyny06
0

Ответ:

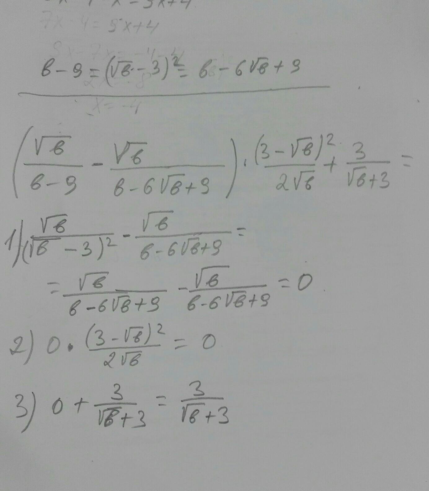
решение смотри на фотографии

Приложения:

sashapetrov9212: во второй строчке в скобках после 1 что?
sashapetrov9212: корень b -3?
sashapetrov9212: и что за символ после 1
sashapetrov9212: и нужно ли вообще писать ту 1
bomkoasya0102: чел, зайди ко мне, пожалуйста, там похожее задание 100 баллов даю
очень срочно
bomkoasya0102: саш, то не 1, это то, на что мы умножаем
Ответ дал: s1051966
0

Ответ:

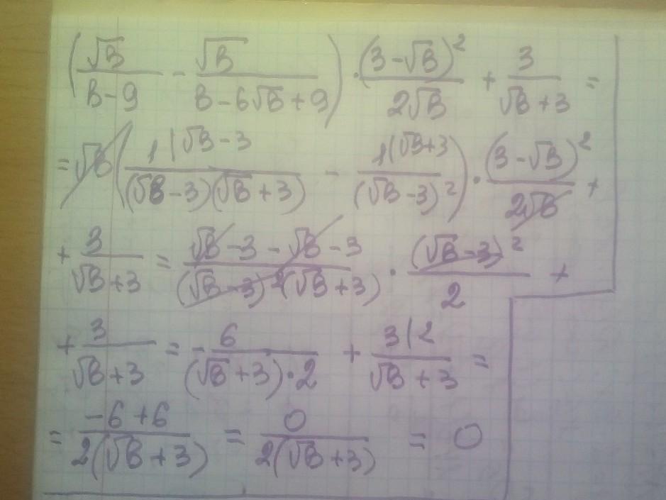
ответы ответы ответы ответы ответы

Приложения:

bomkoasya0102: чел, зайди ко мне, пожалуйста, там похожее задание 100 баллов даю
bomkoasya0102: очень срочно
Вас заинтересует