• Предмет: Математика
  • Автор: iarikmedinschii
  • Вопрос задан 3 года назад

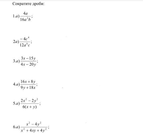
Помогите пожалуйста, срочно нужно. Сократить 6 дробей. Алгебра


Помогите

Приложения:

Ответы

Ответ дал: serovaksusa1
1

Ответ:

Смотри решение на фото

Приложения:

iarikmedinschii: Спасибо, очень помогли
Вас заинтересует