• Предмет: Математика
  • Автор: Аноним
  • Вопрос задан 3 года назад

ПОМОГИТЕ ПОЖАЛУЙСТА СРОЧНО!!!!!!!!!!!!!!!!!!!

Приложения:

Ответы

Ответ дал: Эльвира5102
1

Ответ:

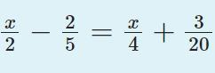
\frac{x}{2} -\frac{2}{5}=\frac{x}{4}+\frac{3}{20}\\\\\frac{10x}{20}-\frac{8}{20}=\frac{5x}{20}+\frac{3}{20}\\ 10x-8=5x+3\\10x-5x=3+8\\5x=11\\x=\frac{11}{5}=2\frac{1}{5}=2,2

Вас заинтересует