• Предмет: Математика
  • Автор: K0Cmix
  • Вопрос задан 3 года назад

Помогите прошу!!!! Даю свои последние 10 балов!

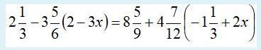
Розв'яжіть рівняння: (смотр фото)

Мне нужен болешь ответ, чем решение
Но и решение не помешает ;)

Приложения:

Ответы

Ответ дал: tatsach
1

Ответ:

Пошаговое объяснение:

Приложения:

ya2ya: у меня ответ 3 1/3. Как добавить фото с решением?
K0Cmix: Спасибо! Я бы обьеснила но не могу)))
tatsach: А у меня 1 2/3
tatsach: Нет 3 1/3
Ответ дал: Аноним
2

Ответ:

Решение смотри на фотографии

Приложения:
Вас заинтересует