• Предмет: Математика
  • Автор: iarikmedinschii
  • Вопрос задан 3 года назад

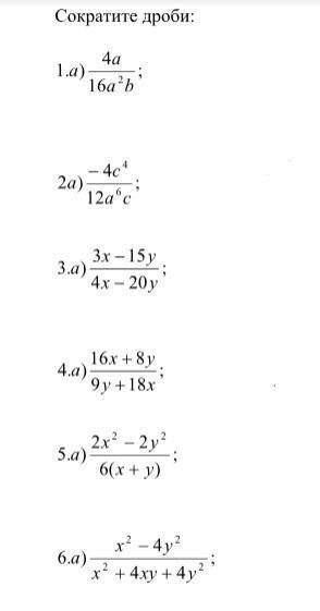
Помогите срочно нужно!!!!!!!
Алгебра, сократите дроби​

Приложения:

Ответы

Ответ дал: 0987654321fastfyd
0

Ответ:

1.зверху а, внизу 64b

2. сверху c³ снизу 3а⁶

больше не знаю

Вас заинтересует