Очень срочно нужно
Приложения:

Аноним:
все 9?
Ответы
Ответ дал:
1
Ответ:
Объяснение:
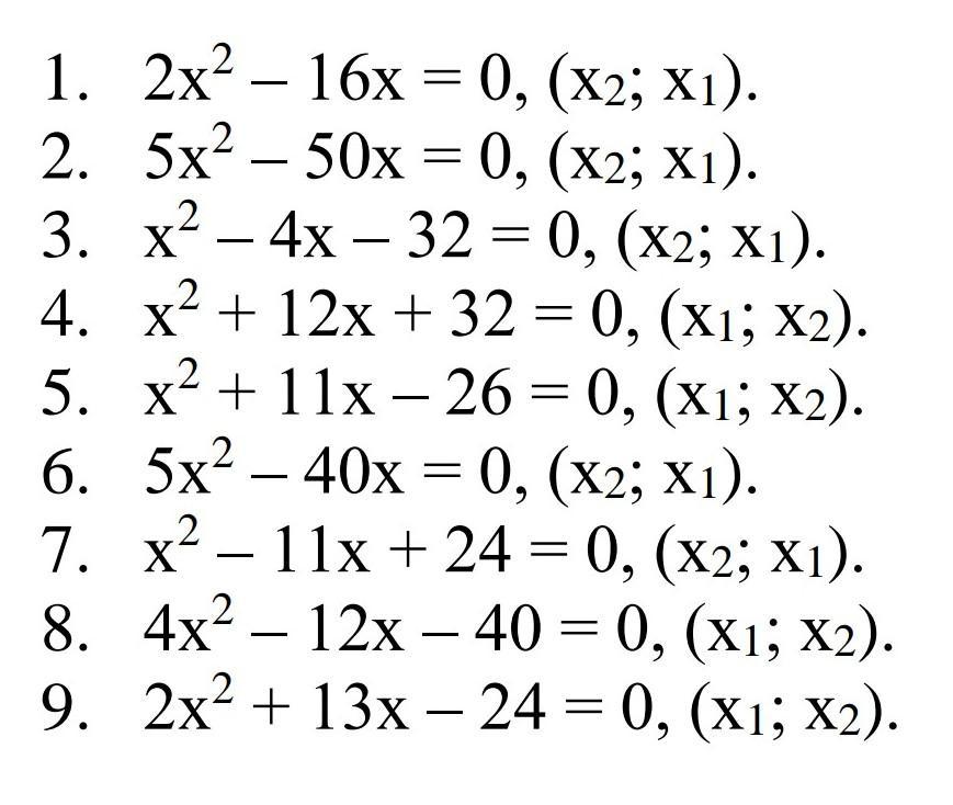
1. х₁=0 х₂ = 8
2. х₁=0 х₂ = 10
3. х₁=8 х₂ = -4
4. х₁= 10 х₂ = 4
5. х₁= -2 х₂ = 13
6. х₁=0 х₂ = 8
7. х₁=3 х₂ = 8
8. х₁=-2 х₂ =5
9. х₁=1,5 х₂ =- 8
Вас заинтересует
2 года назад
2 года назад
2 года назад
8 лет назад
9 лет назад
9 лет назад