• Предмет: Математика
  • Автор: MCDoni1221
  • Вопрос задан 3 года назад

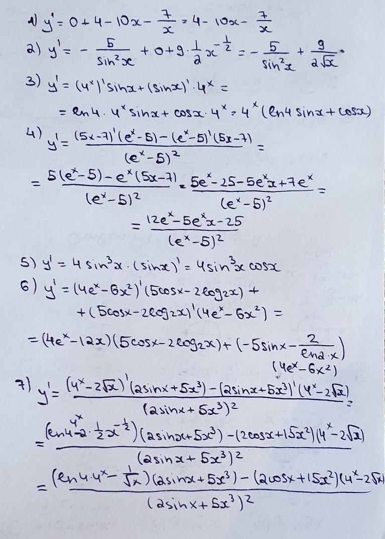
Помогите решить 3 вариант пожалуйста

Приложения:

Ответы

Ответ дал: Miroslava227
2

Ответ:

решение на фотографиях

Приложения:

MCDoni1221: От души)
Вас заинтересует