• Предмет: Математика
  • Автор: valerijapuzikova
  • Вопрос задан 3 года назад

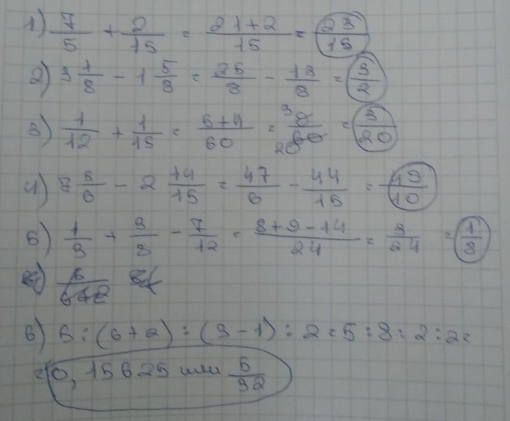
1)7/5 + 2/15 =
2)3 целых 1/8 - 1 целая 5/8 =
3)1/12 + 1/15 =
4)7 целых 5/6 - 2 целых 14/15 =
5)1/3 + 3/8 - 7/12=
задания со звёздочкой
5 делить 6 + 2 делить 3 - 1 делить 2 =
помогите пжпжпжпжпжп

Ответы

Ответ дал: CrazyTapok227
1

Ответ:

Решение на фото,только на счёт последнего не понял (как понял так и сделал).

Приложения:
Вас заинтересует