• Предмет: Алгебра
  • Автор: yfcnzs2000
  • Вопрос задан 10 лет назад

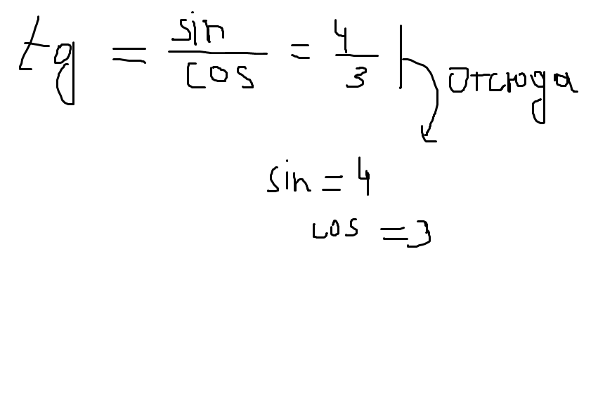
Как найти косинус и синус если тангенс 4 3 дробью?

Ответы

Ответ дал: Мишган
0
///////////на картинку *тык*

Приложения:
Вас заинтересует