• Предмет: Алгебра
  • Автор: bekbergenalina
  • Вопрос задан 3 года назад

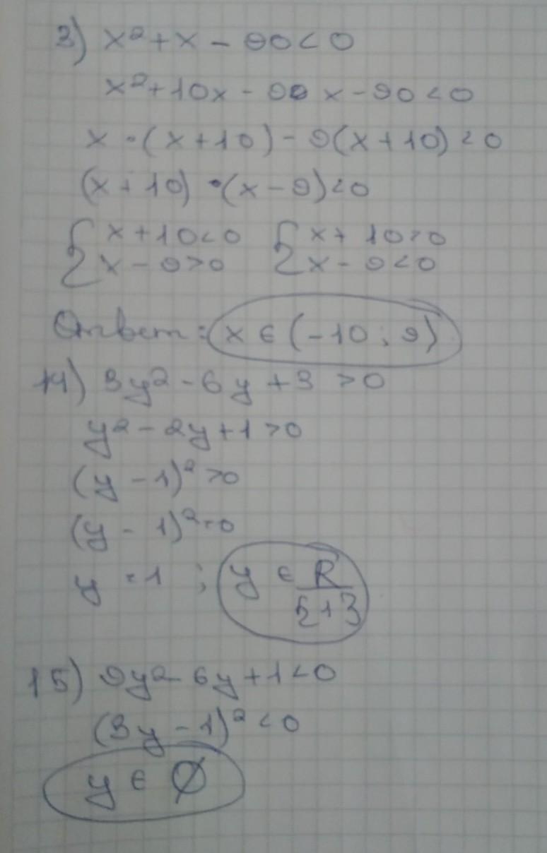
Надо решить 3,14,15 желательно на листочке пожалуйста

Приложения:

Ответы

Ответ дал: CrazyTapok227
0

Ответ:

Как то решил,на фото.....

Приложения:
Вас заинтересует