Произведение двух чисел равно 20,а изх разность равна 1.Найдите эти числа.
Нужно решить через систему.
Ответы
Ответ дал:
0
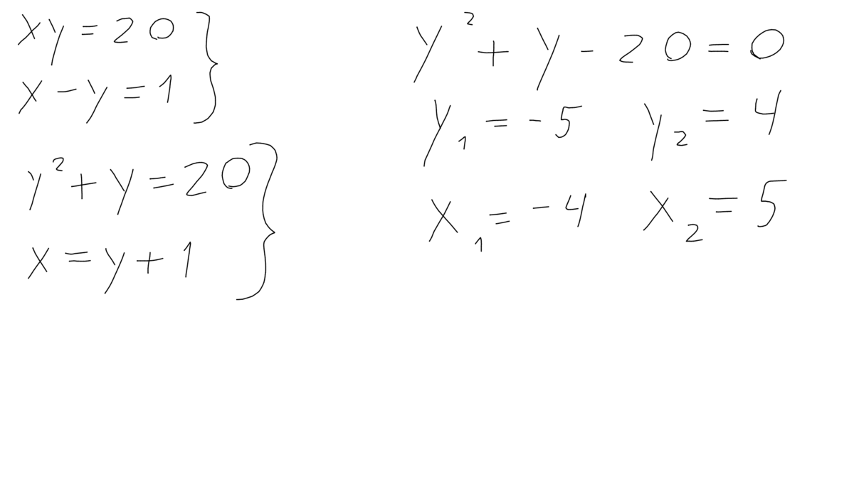
xy=20
x-y=1 x=y+1
y(y+1)=20
y^2+y-20=0
y1=-5, y2=4
x1=-4, x2=5
x-y=1 x=y+1
y(y+1)=20
y^2+y-20=0
y1=-5, y2=4
x1=-4, x2=5
Ответ дал:
0
Решение на фото ниже
Приложения:
Вас заинтересует
3 года назад
3 года назад
8 лет назад
11 лет назад