• Предмет: Алгебра
  • Автор: strugovg
  • Вопрос задан 3 года назад

якласс копец срочно 15 мин осталось

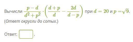
Приложения:

Ответы

Ответ дал: artemivanov199921
1

Ответ:

256

Я так думаю

Если не правильно извини

Вас заинтересует