Ответы
Ответ дал:
0
Ответ:
3) = (-13)
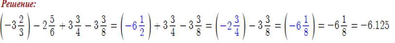
4) (-6.125) или (-6 1/8)
Пошаговое объяснение:
номер 3 в доп решении не нуждается
Приложения:

woopso:
можно с решением
Вас заинтересует
2 года назад
2 года назад
2 года назад
8 лет назад
9 лет назад
9 лет назад