• Предмет: Алгебра
  • Автор: Jacksonchannel
  • Вопрос задан 3 года назад

алгебра нужна помощь

Приложения:

Ответы

Ответ дал: Грант97
1

Ответ:

Объяснение:

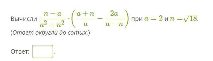
\frac{n-a}{a^{2} + n^{2} } * (\frac{a+n}{a} - \frac{2a}{a-n} ) = \frac{n-a}{a^{2} + n^{2} } * (\frac{(a+n)(a-n)-2a^{2} }{a(a-n)}) = \frac{n-a}{a^{2} + n^{2} } * (\frac{a^{2}-n^{2} - 2a^{2} }{-a(n-a)} ) = \frac{n-a}{a^{2} + n^{2} } * (\frac{-a^{2} -n^{2} }{-a(n-a)}) = \frac{n-a}{a^{2} + n^{2} } * (\frac{-(a^{2} +n^{2}) }{-a(n-a)}) = \frac{(n-a)*(a^{2} + n^{2})}{(a^{2} + n^{2})*a(n-a) } = \frac{1}{a} = \frac{1}{2} = \frac{50}{100} = 0,50

Вас заинтересует