• Предмет: Математика
  • Автор: omn1s
  • Вопрос задан 3 года назад

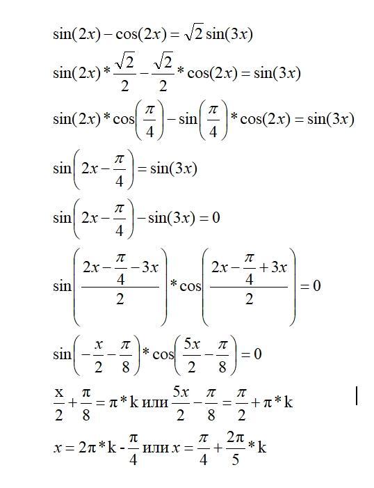
Как решить эту.....
Если у кого получится, можно с фото пжлст)) ​

Приложения:

IUV: Данный пользователь пока не ответил ни на один вопрос
IUV: помогите кому-либо (дайте ответ на чужой вопрос) тогда я помогу Вам
omn1s: помог)
IUV: я тоже
omn1s: спасибо, Вы меня спали)
IUV: наверное спас а не спал
omn1s: ой, спасли

Ответы

Ответ дал: IUV
1

Ответ:

во вложении

Пошаговое объяснение:

Приложения:
Вас заинтересует