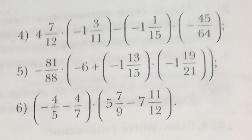
Ребят, помогите, пожалуйста. Нужно решать по действиям. Даю 15 баллов. Заранее спасибо
Приложения:

Ответы
Ответ дал:
1
це має бути правильно....
Приложения:

AdelGallagher:
Мне нужно было по действиям. Но всё равно спасибо)
Вас заинтересует
2 года назад
2 года назад
2 года назад
8 лет назад
8 лет назад