Найдите все целые числа b так, чтобы корень уравнения bx = -4 был целым числом
Помогитее хелп мии : (
Пожалуйста
Ответы:
А)0;+1;+2;
В)+1;+2;+4;
С)+1;+2;+3;+4;
Д)+1;+2.
damina06:
Найдите все целые числа b так, чтобы корень уравнения был целым числом
Ответы
Ответ дал:
1
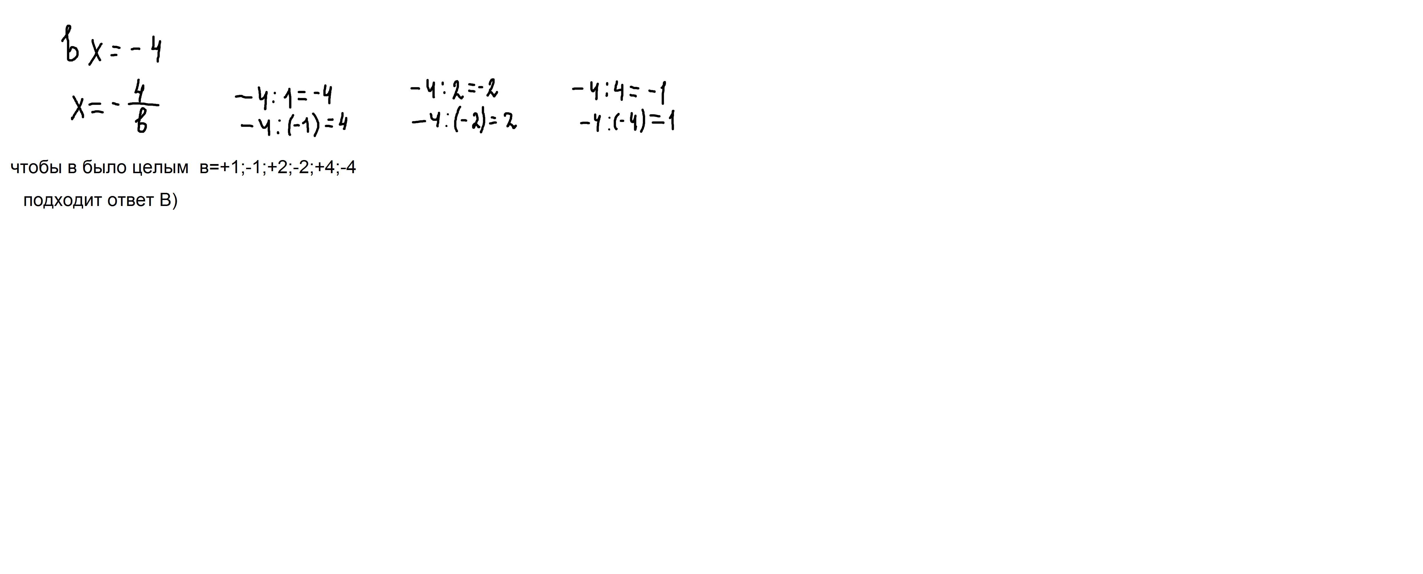
Ответ:
В)±1;±2;±4
Пошаговое объяснение:
Приложения:

Вас заинтересует
2 года назад
2 года назад
2 года назад
2 года назад
8 лет назад
9 лет назад