Прямоугольный треугольник ABC катеты которого равны 15дм и 20дм. Из прямого угла в верх проведён перпендикуляр CK. Посчитайте длину перпендикуляра CK если расстояние от точки K до катета равно 13дм.
Ответы
Ответ дал:
0
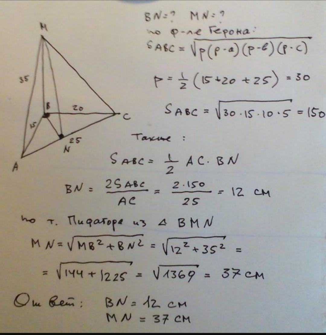
Ответ:12 см и 37
Объяснение:
Приложения:

Вас заинтересует
2 года назад
2 года назад
2 года назад
8 лет назад
8 лет назад
9 лет назад
9 лет назад