• Предмет: Алгебра
  • Автор: muslima4057
  • Вопрос задан 3 года назад

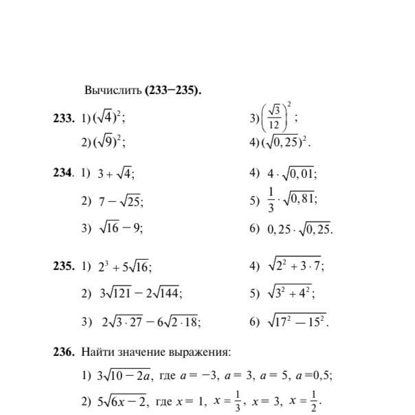
Помогите пожалуйста

Приложения:

Ответы

Ответ дал: andrey609478
0

Ответ:

233: 1)4 2)9 3)48 4)0,25

234: 1)5 2)2 3)-5 4)0,4 5)0,3 6)0,125

235: 1)28 2)9 3)-18 4)5 5)5 6)8

236: 1) 12,6,0,9 2) 10,0,20,5

Вас заинтересует