• Предмет: Геометрия
  • Автор: valerijalbertovic624
  • Вопрос задан 3 года назад

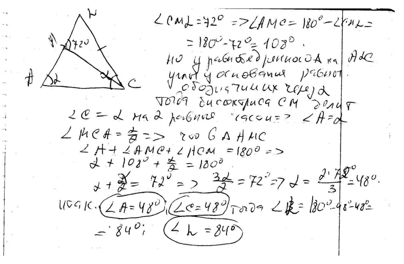
В равнобедренном треугольнике ARC проведена биссектриса CM угла C у основания AC,
∡ CMR = 72°. Определи величины углов данного треугольника (если это необходимо, промежуточные вычисления и ответ округли до тысячных).

Ответы

Ответ дал: tarasgavrot
0

Відповідь:

я думав над етом атветом 1 час

Приложения:
Вас заинтересует