100 баллов!!!!!!!!! Помогите
Найти общее решение дифференциального уравнения.
+ ещё одна задачка
y два штриха =-sin4x
Приложения:

Ответы
Ответ дал:
1
Ответ:
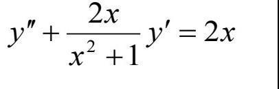
Первое уравнение - это ДУ 2го порядка, решающееся понижением порядка (далее, после замены, линейное ДУ)
линейное ДУ
в первом интеграле разделим числитель на знаменатель:
общее решение
2.
ДУ 2го порядка, решающееся интегрированием
общее решение
Аноним:
я там ещё одну задачку добавила, там тоде 100баллов, помоги пожалуйста
Вас заинтересует
2 года назад
2 года назад
2 года назад
2 года назад
8 лет назад
9 лет назад