помогите решить,даю 30 баллов!
Приложения:

miki68:
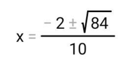
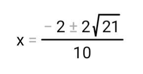
2) D=84, x(1)=-0,2-0,2√21, x(2)=-0,2+0,2√21
Ответы
Ответ дал:
1
Ответ:
ну вот второе
Объяснение:
Приложения:





Вас заинтересует
2 года назад
2 года назад
2 года назад
8 лет назад
8 лет назад
9 лет назад