• Предмет: Алгебра
  • Автор: gossipqueen
  • Вопрос задан 11 лет назад

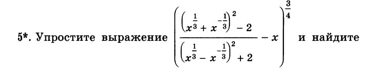
Решите хотя бы 1 пример, поставлю лучший ответ! Если будет правильно)

Приложения:

Ответы

Ответ дал: volkodav575
0
Решение на фото, надеюсь видно и понятно, несмотря на помарки.
В первом:
При х=0,9919  (1-0,9919)^{ frac{3}{4} } = (0,0081)^{ frac{3}{4} } = sqrt[4]{(0,3^{4})^3 } =sqrt[4]{(0,3^{3})^4 }=0,3^{3}=0,027
Приложения:
Ответ дал: gossipqueen
0
Какой самый последний ответ ув ас? Может я не разобрала
Ответ дал: volkodav575
0
1-х все это в степени три четвертых
Ответ дал: volkodav575
0
Во втором примере единица деленная на 8х
Ответ дал: gossipqueen
0
Я перепутала ответы, простите) спасибо!
Вас заинтересует