• Предмет: Алгебра
  • Автор: lliliyaaa
  • Вопрос задан 3 года назад

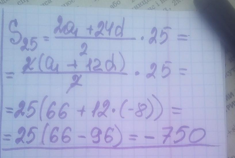
В арифметичній прогресії
Знайдіть суму двадцяти п'яти перших членів цієї прогресії.

Приложения:

Ответы

Ответ дал: manyny06
1

Ответ:

решение смотри на фотографии

Приложения:
Вас заинтересует