• Предмет: Математика
  • Автор: kuseleva14
  • Вопрос задан 3 года назад

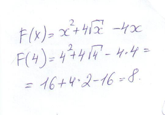
f(x)=x^2+4 корень х-4х при х=4

Ответы

Ответ дал: mioks
1

Ответ:

на фото

Пошаговое объяснение:

Приложения:
Вас заинтересует