Ответы
Ответ дал:
0
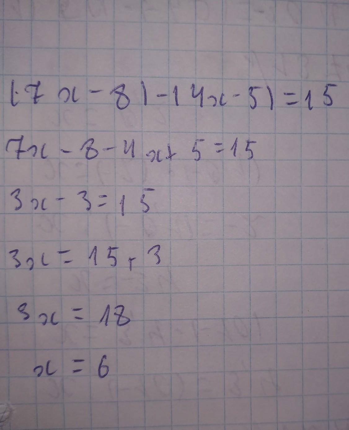
1) Убираем скобки и меняем знак во второй
7x-8-4x+5=15
2) Приводим подобные члены
3x-3=15
3) Переносим x в одну сторону
3x=15+3
4) решаем
3x=18
x=6
ответ: 6
7x-8-4x+5=15
2) Приводим подобные члены
3x-3=15
3) Переносим x в одну сторону
3x=15+3
4) решаем
3x=18
x=6
ответ: 6
Ответ дал:
0
Ответ:
Вот
....................
Приложения:

Вас заинтересует
2 года назад
2 года назад
2 года назад
8 лет назад
9 лет назад