Решите пример 1.4 срочно!!!
Приложения:

anonim4468:
напиши в комментариях пример
Ответы
Ответ дал:
1
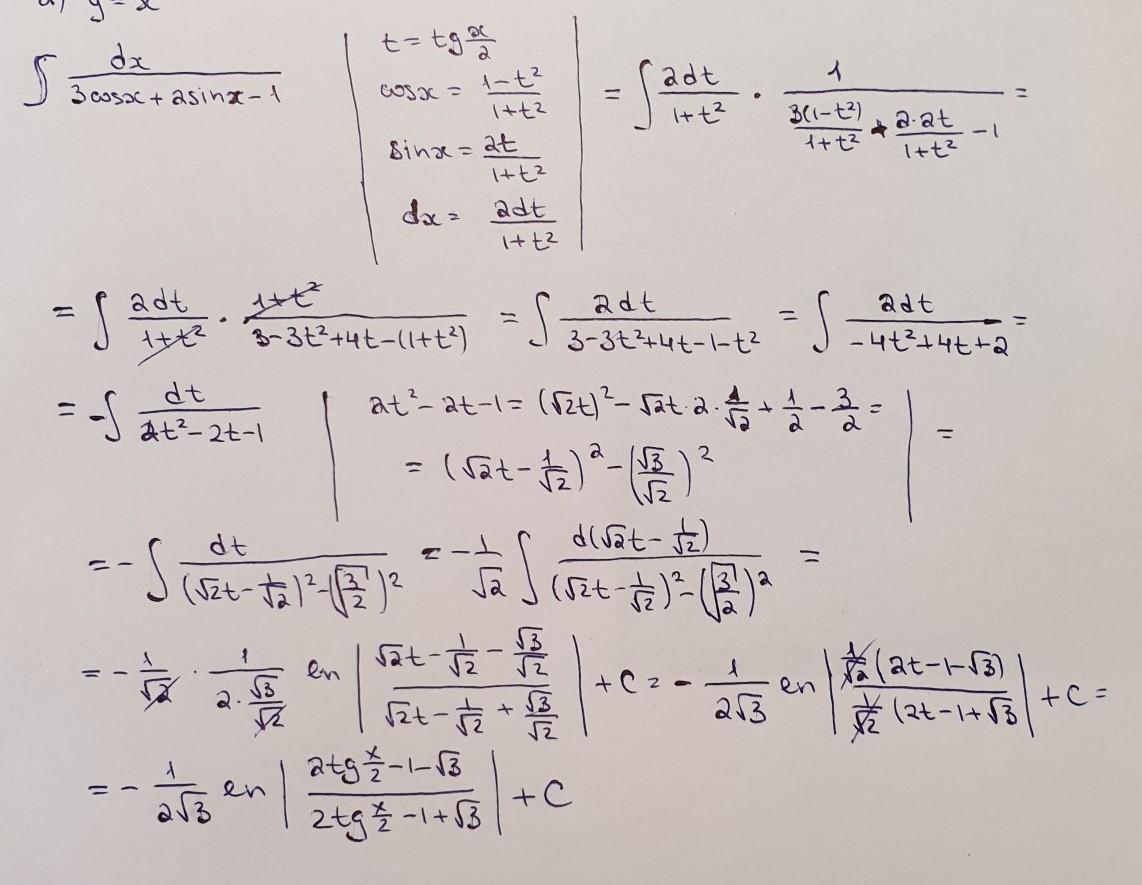
Ответ:
решение на фотографии.
Приложения:

Вас заинтересует
2 года назад
2 года назад
2 года назад
8 лет назад
8 лет назад
9 лет назад
9 лет назад