Ответы
Ответ дал:
0
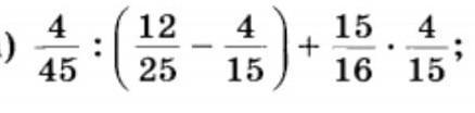
Решаем по действиям.
Ответ: ⅔
Приложения:

Вас заинтересует
2 года назад
2 года назад
2 года назад
2 года назад
8 лет назад
8 лет назад
9 лет назад