• Предмет: Математика
  • Автор: zliza425
  • Вопрос задан 3 года назад

хелп,вообще ничего не понимаю! ​

Приложения:

Ответы

Ответ дал: lollipopbrawl
0

Ответ:

0.5

Пошаговое объяснение:

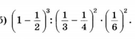
1) (1-1/2)^3=(1/2)^3=1/2*1/2*1/2=1/8

2) (1/3-1/4)^2=(4/12-3/12)^2=(1/12)^2=1/144

3) (1/6)^2=1/36

4) 1/8/1/144*1/36=1/2=0.5


lollipopbrawl: понятно?
Вас заинтересует