Ответы
Ответ дал:
1
Ответ:
Вот, дружочек, держи ответ
Приложения:

Ответ дал:
1
Ответ:
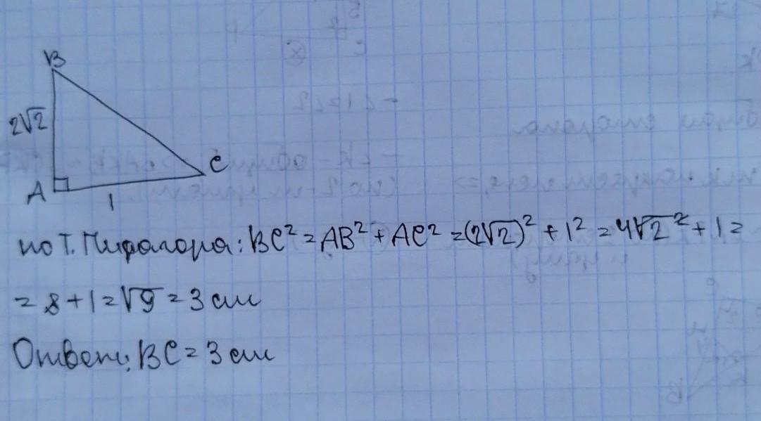
3см
Объяснение:
Дано:
Прямоугольный треугольник
а=1 см катет
b=2√2 cм катет
с=? гипотенуза
Решение
Теорема Пифагора
с=√(а²+b²)=√(1²+(2√2)²)=√(1+8)=√9=3 см
Вас заинтересует
2 года назад
2 года назад
2 года назад
2 года назад
8 лет назад