• Предмет: Математика
  • Автор: strigasasa48
  • Вопрос задан 3 года назад

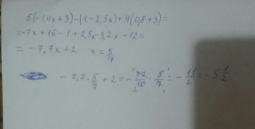
спрости вираз 5(-1,4+3)-(1-2,5x)-4(0,8x+3)=, якщо x=5/7


strigasasa48: сори там не -1,4
strigasasa48: там -1,4x+3

Ответы

Ответ дал: wiktor1979
1

Ответ:

5( - 1.4 + 3) - (1 - 2.5x) - 4(0.8x + 3) =  - 7 + 15 - 1 + 2.5x - 3.2x - 12 =  - 0.7x - 5 \:  \:  \:  \:  \: x =  \frac{5}{7}  \\  - 0.7 \times  \frac{5}{7}  - 5 =  -  \frac{7}{10}  \times  \frac{5}{7}  - 5 =  -  \frac{1}{2}  -  \frac{5}{1}  =  \frac{1 - 10}{2}  =  -  \frac{9}{2}  =  - 4 \frac{1}{2}  =  - 4.5

Приложения:

strigasasa48: но там проблема там должно быть 5(-1.4x+3)... поможешь ище(
strigasasa48: пожалуйста
wiktor1979: извини не понял. все же правильно?
strigasasa48: просто я не правильно написала и там под коментарием я написала: что 5(-1,4x+3)-(1-2,5x)-4(0,8+3)=
strigasasa48: там должно возле -1,4 быть x
wiktor1979: аа ща сделаем
wiktor1979: написал. смотри.
Вас заинтересует