• Предмет: Математика
  • Автор: olenaklyuchko1204
  • Вопрос задан 3 года назад

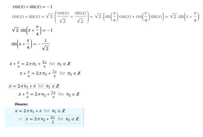
Навести різні способи розв’язання рівняння sin + cos=−1.

Ответы

Ответ дал: ildar502020
0

Ответ:

Пошаговое объяснение:

Навести різні способи розв’язання рівняння

sinx + cosx=−1.

Решение на скриншоте.

Приложения:
Вас заинтересует